Curiosity is welcome here!

Our universe is a beautiful place, it contains everything we know about and everything we aspire to know about. It gave us birth and one day, unfortunately, will bestow upon us death. There are an infinite number of secrets hidden inside the cosmos and this organization is entirely dedicated to uncovering them, we strive to spread the love for science to as many as possible!
The Time Dilation Formula
We have discussed the special theory of relativity briefly in an earlier blog post which was titled Time travel. (I would recommend Reading that post first)
A major part of that post was based on how the formula for time dilation due to velocity worked, but now its time to understand how it was derived and how it can be used. The formula is as follows:

Here,
1. v – Velocity (In terms of light speed- Example: 99% speed of light- 0.99c)
2. c – Speed of light
3. t – Time passed for a person on earth
4. to – Time passed for the person in a spaceship traveling at ‘v’
It is a pretty simple looking formula but is one of the most essential in modern physics.
Later in this post, we will learn how to derive this formula mathematically using a simple analogy.
Definition and value:
To understand where the formula of time dilation originated from we will have to know what the Lorentz factor is, it is a constant which arises in Lorentz transformations (Will be discussed in detail in another post)which are equations that relate spacetime coordinates of one frame of reference to those of another.
This factor is mainly used in the formulae of time dilation, length contraction, and relativistic momentum. It is named after the physicist Hendrik Lorentz.
The factor is represented by the Greek letter gamma and its value is as follows:

Postulates of Einstein’s Special Theory of Relativity:
To understand Lorentz transformations and the Lorentz factor itself we are going to have to look at the fundamentals of the special theory of relativity − its postulates:
- All laws of nature are equal in all uniformly moving frames of reference.
- The speed of light is the same in all inertial frames of reference.
Einstein had basically assumed that the speed of light was constant in all frames of reference while he developed the special theory of relativity.
The second postulate gave us the formula for time dilation (The invariance of the speed of light in all inertial reference frames has still technically not been proven yet).
Deriving the Formula of Time Dilation:
Grab a snack, a paper, a pencil and get comfortable as we are about to go on an intellectual journey which I guarantee will be worth it by the end of this post.
Please feel free to draw the diagrams and write the equations with me!
Let’s assume that the worlds best tennis player is bouncing a ball using his racquet so fast that the ball is moving at the speed of light and so precisely that the time the ball takes to move between the racquet and the floor is always equal.

Now, lets put our tennis player on a high-speed spaceship!

Now, imagine that this spaceship whizzes past us at 80% the speed of light.
I will represent the racquet and floor like this from now on:

When this spaceship moves past us at 80% the speed of light we would see the path of the tennis ball to be something like this:
Dotted line – Our view of the ball’s path
Solid line – The world’s best tennis players view of the ball’s path

We would see the ball moving in this diagonal direction while it is bouncing normally for the tennis player who is inside the spaceship. (Isn’t that weird)
Let us magnify this and only look at the ball’s movement:

As you guys saw we had three cases in the ‘rocket diagram’ and we also have three cases here,
1– Where the ball bounced off the floor
2– Where the ball bounced off the racquet
3– Where the ball reached back to the floor
In this diagram, I have named these intersection points – A, B and C respectively.
Here,
Dotted line – Our view of the ball’s path
Solid line – The world’s best tennis player’s view of the ball’s path
c – Speed of light/The speed of the ball
t – The time it takes for the ball to travel distance AB and it would be equal to the time taken by the spaceship to cover distance AE
v – The speed of the spaceship
t base o – The time is taken for the ball to cover distance BE
As
Distance = Speed x Time
We can say:
AB = ct
AE = vt
BE = c x to
Note: The solid line BE represents the path of the ball as seen by the tennis player onboard. As that path is straight the distance is shorter, and as the speed of light is supposed to be constant the time taken should be different than the amount of time taken for the ball to cover the path we see.
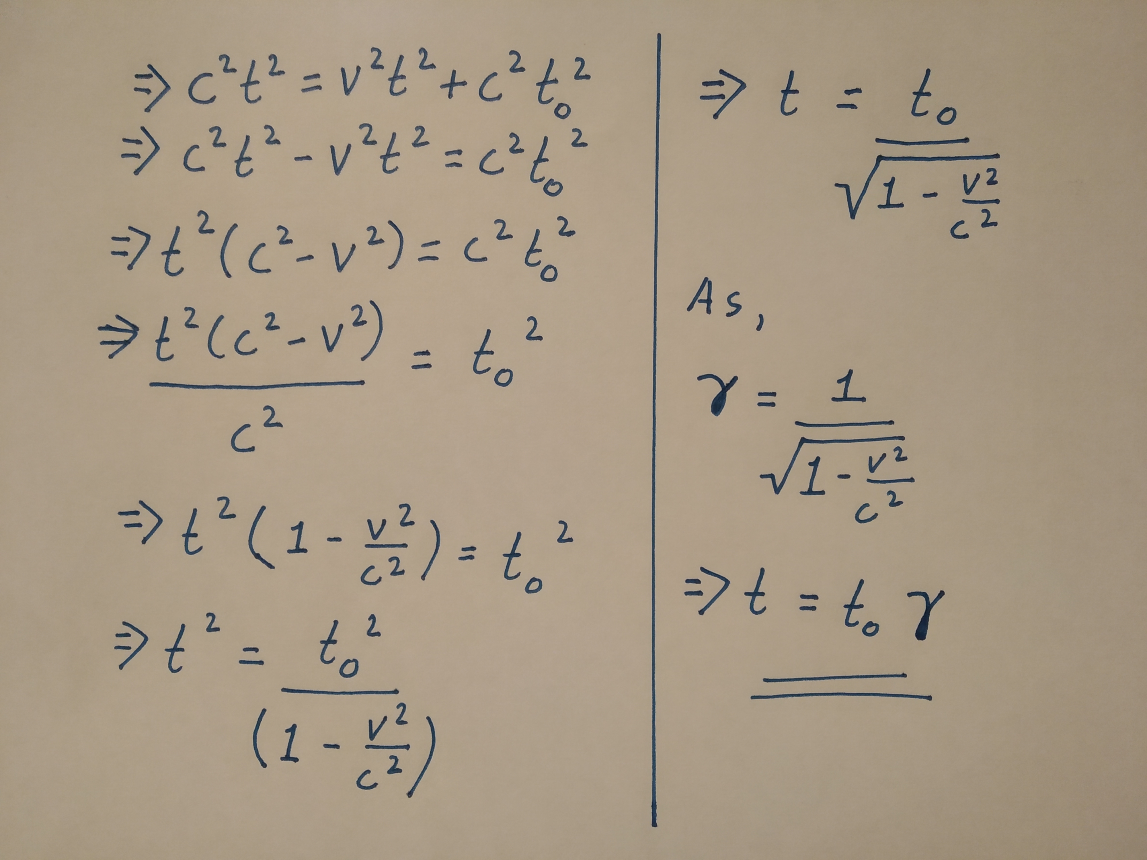
These two paths of the same ball form a right-angled triangle ABE with sides ct, vt, and c*to.
Using the Pythagoras theorem we get the equation:

Let us work a little bit more on this equation:

Wow! As you can see that when we solve this equation we get the equation of time dilation!
We can represent this equation like this too:

So, we have successfully derived the equation of time dilation. This is the similar to what you would see if we replace our tennis player and ball with a photon clock, and that’s exactly why the tennis ball is bouncing up and down at the speed of light.
This is just a little sneek peek into the math of relativity, i hope this short post will help you understand far more complicated topics way more easily in the future.
Hope you loved it!
Kulvir love the way you explained the concept with example of tennis player…
LikeLike
I try to do my best…
Thank you for taking the time to read my posts!
LikeLike
Dear Kulvir,
I am glad to see that you have made efforts in creating your own images…. good job. Keep up the efforts in your areas of interest….. There is no substitute for hard work !!!
Keep it up.
Regards
Jaydeep
LikeLike